Chapter 8: Multiple Reactions
Liquid Phase PFR
Open the Polymath file by clicking here





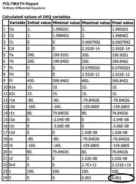
It looks as if the selectivity goes through a maximum, as shown in Figure (A), however, this apparent maximum is a result of numerical inaccuracies at the entrance to the reactor (V = 0) to check if this maximum is real or apparent, we choose a reactor volume at the entrance that is very small 10–3 dm3 and re-run the program, we see in Figure (B) that there is no maximum and that the selectivity decreases as we go down the reactor and the volume increases.

Back to Chapter 8