Chapter 8: Multiple Reactions

Additional Homework Problems

CDP8-IC

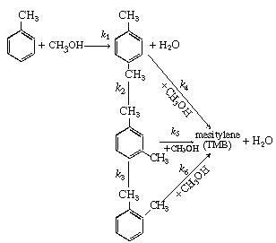
    The production of p -xylene is to be carried out by the reaction of toluene and methanol over HZSM-8 zeolite catalyst [Ind. Eng. Chem. Res. , 28, 890 (1989)]. The reaction sequence is  
       
 

 

IMAGE 06eq20.gif

 
       
    For the first approximation, we are going to neglect the reverse reactions. The rate laws are:  
   

 
       
    where  
       
   

 
       
    The subscripts used above are: T = toluene, M = methanol, PX = p -xylene, MX = m -xylene, OX = o -xylene, TMB = mesitylene.  
       
   

 
       
   

The feed conditions are: P M = 5 atm, P T = 5 atm, T = 450°C, and the total molar feed rate is 10 mol/ min.

(a) Which of the reactions can be neglected to further simplify the kinetics?
(b) Using the simplification in part (a) plot the molar feed rates and selectivities as a function of catalyst weight in a

(1) Packed-bed reactor.
(2) "Fluidized" CSTR.

(c) How would you go about maximizing (e.g., feed concentrations, ratio of toluene to methanol fed, etc.) the production of

(1) p -xylene.
(2)m -xylene.

(d) The activation energies for the six reactions are (in kJ/mol): E1 = 60.5, E2 = 35.4, E3 = 45.9, E 4 = 35.8,
E 5 = 32.8, andE 6 = 29.8. How would changes in temperature affect your results in part (c)?
(e) Look up the equilibrium constants for the xylene equilibrium reactions and comment on the validity of neglecting the reverse reactions in light of your results in part (b).