Chapter 3: Rate Laws

Transition State Theory

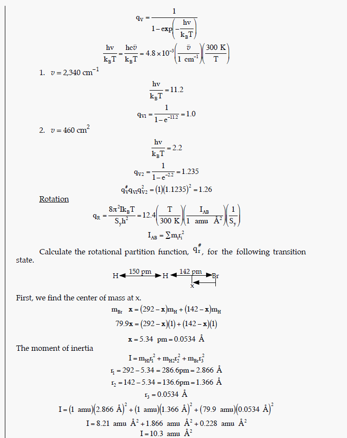
Example: Calculating the Frequency Factor Using Transition State Theory

Return to Transition State Theory