Chapter 3: Rate Laws

Collision Theory

The Polyani Equation

  (A)
Rearranging    
  (B)
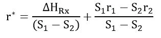
Solving for r*    
  (C)
Recalling Eqn. (43)    
  (43)
Substituting Eqn. (C) for r* in Eqn. (43)    
  (E)
Rearranging    
  (F)
  (G)
Finally, collecting terms we have    
  (H)
Note: S1 is positive, S2is negative, and r2 > r1; therefore Ea*is positive as is γP    
   

Return to Collision Theory