Additional Homework Problems

CDP13-CB

  The flow of non-Newtonian fluids that react chemically are of great industrial interest [Chem. Eng. Sci., 43, 1209 (1988)]. Consider one such fluid, a Bingham plastic in laminar flow in a tubular reactor. This fluid has the following properties:
     
   

image 13eq42.gif

     
    where U is the velocity,etaB the viscosity,ty the yield stress, andtr stress at radius r. For laminar flow of a Bingham plastic in a cylindrical tube, the shear< there will be core region of radius rc near the axis where the axial velocity is uniform,
     
   

image 13eq43.gif

     
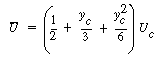
    The average velocity, U, over the cross section is
     
   

image 13eq44.gif

     
    where y =r/R and yc = rc/R, which can be calculated from the equation
     
   

image 13eq45.gif

     
    where, the Bingham number.
    (a) Derive equations for E(t) and F(t) for a Bingham plastic flowing in a straight cylindrical reactor.
(b) Derive an equation for the mean residence time.

[2nd Ed. P13-16]