Additional Homework Problems

CDP13-AC

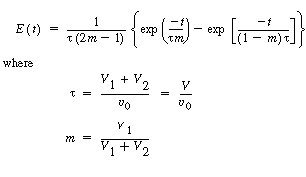
(a) Show that E(t) for two CSTRs in series having different volumes is

image 13eq37.gif

(b) Make a plot of E(t ) as a function of t /greektfor different values of m (e.g., m = 0.1, 0.2, 0.5) forgreekt= 5 min. You could also use POLYMATH to solve the unsteady-state concentration balances and generate these curves.

(c) Use the segregation model to calculate the conversion of the second-order gas-phase reaction

image 13eq38.gif

for which the combined constant, kCA0greekt = 10, for m = 0.1, 0.3, and 0.5. Pure A enters the reactor.

(d)
Repeat part (c) for the maximum mixedness model.

[2nd Ed. P13-11]