Runaway Reactions

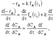
Derivation

and from the mole balance

For a 1st order reaction,

 

Back to Runaway Reactions in PFRs