Professional Reference Shelf

Example CD8-3: Determining the Parameters That Give MSS2

    The oxidation of carbon monoxide is carried out in excess oxygen in a "fluidized" CSTR containing catalyst particles impregnated with platinum:  
       
   

IMAGE 08eq49.gif

 
       
    The rate law for the disappearance of CO, (A), is (CDE8-3.1)
       
   

IMAGE 08eq50.gif

 
       
    Combining a mole balance with the rate law gives (CDE8-3.2)
       
   

IMAGE 08eq51.gif

 
       
    which is of the form  
       
   

IMAGE 08eq52.gif

(CDE8-3.3)
    At the bifurcation point,IMAGE 08eq52a.gif  
       
image 08eq53a.gif IMAGE 08eq53.gif (CDE8-3.4)
       
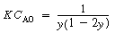
    and Equation (CD8-12) requires  
IMAGe08eq54.gif (CDE8-3.5)
       
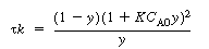
    Combining Equations (CDE8-3.4) and (CDE8-3.5) yields  
       
   

IMAGE 08eq55.gif

(CDE8-3.6)
       
    Solving Equation (CDE8-1.6) for CA gives us  
       
   

IMAGE 08eq56.gif

(CDE8-3.7)
    ForIMAGE 08eq57.gif, no real roots exist and there are no possible steady states. A rearrangement of Equation (CDE8-1.4) gives  
       
   

IMAGE 08eq58.gif

(CDE8-3.8)
       
    Note that the right-hand side of Equation (CDE8-3.8) goes through a maximum asIMAGE 08eq59.gifis increased from 1. To find this maximum we set the derivative of the right-hand side of Equation (CDE8-3.8) with respect to CA equal to zero, and solve to find that the maximum occurs at  
       
   

IMAGE 08eq60.gif

(CDE8-3.9)
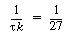
    Substituting Equation (CDE8-3.9) into the right-hand side of Equation (CDE8-3.8) gives the maximum as  
       
   

IMAGE 08eq61.gif

(CDE8-3.10)
    The maximum value of the right-hand side is 1/27; consequently, iftau kappa gifis smaller than 27. Equation CDE8-3.10 can never be satisfied and there will be no MSS. Figure CDE8-1.1 shows a mapping of those regions where no multiple steady states will exist.  
       
   

Figure CDE8-3.1
Mapping the regions of no multiple steady states.

 
       
    To learn the regions where MSS exist, we need to carry the analysis further. If we letimage 08eq63.gif, Equation (CDE8-3.6) can be written as  
       
   

IMAGE 08eq64.gif

(CDE8-3.11)
     
    and Equation (CDE8-3.5) as  
       
   

IMAGE 08eq65.gif

(CDE8-3.12)
       
    Equations (CDE8-3.11) and (CDE8-3.12) are used to form Table CDE8-3.1. Figure CDE8-3.2 shows a plot of as a function oftau kappa gif. The shaded area shows the combinations of these variables that will produce multiple steady states.  
       
   

IMAGE 08eq66.gif

 
       
       
   

Figure CDE8-3.2
Region of possible multiple steady states.