Learning Resources

Example CD8-1

  Heat Capacities Expressed as Quadratic Functions of Temperature

N2 + 3H22NH3

 
       
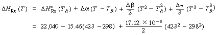
    The heat capacities are found in Perry's Handbook. The units are cal/molK for C p and K for T.  
       
   

IMAGE 08eq89.gif


(CDE8-1.1)


(CDE8-1.2)



(CDE8-1.3)
    IMAGE 08eq90.gif  
       
    Then, substitute to obtain  
    image 08eq91.gif  
   

image08eq92.gif