Learning Resources

Solved Problem Example 5-2

  Use the integral method to determine the reaction order for the di-tert-butyl peroxide decomposition described in Example 5-1.

Solution

Recalling Example 5-1, the combined mole balance and rate law for a constant-volume batch reactor can be expressed in the form
 
     
 

IMAGE 05eq24.gif

(E5-1.5)
     
  As a first guess we might try zero order,alpha= 0, for which equation (ES-1.5) becomes  
     
 

IMAGE 05eq25.gif

(CDE5-1.1)
     
  Integrating gives us  
     
 

IMAGE 05eq26.gif

 
     

Assuming a zero-order reaction

If this is the correct order, a plot of PTversus t should be linear. After using the data in Table CDE5-1.1 to obtain Figure CDE5-1.1, we see that PT is not a linear function of t. Consequently, we conclude that the reaction is not zero-order.  
     
 

Figure CDE5-1-1

 
     
  Next we try second order,alpha= 2:  
     
 

IMAGE 05eq28.gif

 
     
  Integrating yields  
     
 

IMAGE 05eq29.gif

 
     
Assuming a second-order reaction If the reaction is second order, a plot ofIMAGE 05eq36.gifversus t should be linear:IMAGE 05eq37.gif  
     
  After forming Table CDE5-1.1, a plot ofIMAGE 05eq36.gifversus t was constructed and is shown in Figure CDE5-1.2. From the curvature of the plot, we conclude that the reaction is not second order.  
 

IMAGE 05eq27.gif

 
 


Figure CDE5-1-2
 
     
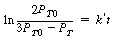
  Finally, we try first order (i.e.alpha= 1). If zero, first, or second order do not seems to describe the reaction rate equation, it is usually best to try some other method of determining the reaction order. foralpha= 1,  
     
 

 
     
  Integrating with limits,IMAGE 05eq31.gifwhen t = 0 yields  
     
 

IMAGE 05eq32.gif

 
     
  If the reaction is first order, a plot ofImAGE 05eq33.gifversus t should be linear. After completing Table CDE5-1.2 using the raw data, a plot ofIMAGE 05eq33.gifas a function of time is made using semilog paper as shown in Figure CDE5-1.3. From the plot we see thatIMAGE 05eq33.gifis indeed linear with time, and we therefore conclude that the decomposition of di-tert-butyl peroxide follows first-order kinetics. From the slope of the plot in Figure CDE5-1.3, we can determine the specific reaction rate, k = 0.08 min -1  
     
 

IMAGE 05eq34.gif

 
     
 

Figure CDE5-1.3