Additional Homework Problems

CDP4-RB

You are designing a reactor system for carrying out the constant-density liquid-phase reaction

IMAGE 04eq14.gif

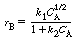
which has the rate law

IMAGE 04eq16.gif

(a) What system (i.e., type and arrangement) of flow reactors, either one alone or two in series, would you recommend for continuous processing of a feed of pure A in order to minimize the total reactor volume? (90% conversion of A is desired.)
(b) What reactor size(s) should be used?
(c) Plot the conversions and concentrations of A and B as a function of plug-flow reactor volume.


Additional information:

k1 = 10.0 (lb-mol/ft 3) 0.5 h -1
k 2 = 6.0 ft 3/lb mol
feed = 100 lb mol/h of pure A
C AO = 0.25 lb mol/ft 3
total pressure = 2000 kPa


[1st Ed. P4-14]

[2nd Ed. P4-8]